AVS用户构建影院实录:马里兰州的疯狂影院


图片1.jpg


在马里兰南部的某个地方,在系统工程师Matthew Blair的家中,潜伏着“释放的野兽”。 幸运的是,这只野兽只是一个梦幻般的家庭影院的名称,没有任何危险。“野兽”会以其惊人的外观,惊人的声音以及在细节上令人难以置信的吸引力吸引到你。


这个影院依靠一个信号源,即Nvidia Shield。 您将在此处看到完整的构建线程。


AVS论坛:您对该影院的主要设计目标是什么?


MB:影院的愿景是要有一个完美的房间,我想建造最好的房间。 这将需要实现以下基本设计目标:


沉浸式音频(六个天花板通道)

高质量4K视频

噪音隔离

7个座位(前排为3个座位,便于聆听音乐的“最佳位置”,后排为4个座位)

专业工程声学设计

宽高比为16:9的12英尺宽屏幕(带有2:40的磁屏蔽面板)

独特的设计美学(即无柱,无舞台,灯光可改变“房间外观”)

17个扬声器和8个低音炮

两行都具有IMAX体验

100%的满意度(很难实现,但我已经实现了–这个房间对我来说真的没有瑕疵)


AVS论坛:您的家庭影院有哪些独特方面或功能?


MB:该影院100%无光盘,并具有一个A / V信号源:Nvidia Shield。确认Shield取代了所有其他A / V来源后,我就出售了游戏机,其他流媒体盒和Oppo UDP-203。我的A / V机架看起来很可笑,因为曾经安装过我的源设备的机架空间是空的。


16:9弧形幕。我寻求的“体验”的一部分涉及房间前部的弧形屏幕。但是我也想要一个16:9的屏幕,这对于“ IMAX式”体验至关重要。我咨询过的一些视频专家他们并不支持这个主意,但最终结果还是达到了真正的身临其境的体验,尤其是在前排。当一切都关闭时,它看起来很酷。


吊顶设计:包括Atmos扬声器和并非重点的照明灯。我在Excel中设计了该解决方案,然后交给了杰夫·帕金森(Jeff Parkinson),他为该影音室的建设做出了巨大贡献。他为可行性打了绿灯。


照明方案。我注意到的第一件事是,我想以一种有趣的方式使用灯光来改变房间的感觉。这就是为什么我选择灰色面板的原因——我希望光线能够定义房间的外观和感觉。条形灯的安装方式使房间从座位位置看起来更深,越靠近面板房间越大。这需要一点数学运算才能得到正确的结果,效果很好!在聆听时,墙壁和天花板的重点照明灯默认为柔和,柔和的白色;对于聆听现代音乐或流行音乐,灯光是紫罗兰色的,与正在播放的节拍同步脉动;对于电影预览,灯光默认为暗蓝色。对于电视,房间默认为中等明亮的红色。为了观看,这些照明方案一直有效,直到我按下Harmony Elite遥控器上的按钮将其关闭为止。


QSC Q-sys均衡。这为校准提供了很大的灵活性,我无法想象没有它的房间。 使用Qsys Designer软件和“房间均衡向导”,我可以实时创建自定义曲线,这对于从八个低音炮调整低音特别有用。 结果是在七个座位中的每个座位上都有均匀分布的强劲低音。 整个声场也非常非常具有凝聚力。


大量弯曲的台阶。我最初的SketchUp设计涉及大角度的笔直台阶,但是为了更加美观,这个设计很快就转变成了大的弯曲台阶。 这些细节虽然很小,但实际上是我最喜欢的部分。 重点照明和阶梯灯一起工作以照亮弧形设计的方式总是给我的脸上带来笑容。 整个制作过程都记录在一个17集的YouTube视频系列中,名为“ The Beast,Unleashed”。


AVS论坛:规划阶段有多长时间?


MB:规划阶段持续了大约六个月,全部在《AVS论坛——释放的野兽》构建线程中执行。


AVS论坛:建设阶段持续了多长时间?


MB:建设阶段持续了大约2年半,因为大多数工作都在周日进行,而且我们拒绝在影院花费中使用信用卡,这意味着必须拥有现金支付所有费用,这对新婚夫妇来说并不容易。给你一个忠告:不要使用信用卡来资助一项爱好。 这是终身债务的单程票,因为爱好所固有的激情,通常会违背支出方面的逻辑。


另外,随着家庭的不断扩大,丈夫的职责导致工作一次要中断几个月。 如果我们在每个星期日都不间断地工作,这大约是一年半的工作。


AVS论坛:您使用了哪些建筑材料和技术?


MB:在此过程中,我:


利用三层5/8英寸的石膏板,两层之间有绿色胶水。将三层石膏板悬挂在夹子和通道上,并使用IB-3夹子将双头螺栓墙固定到托梁上。石膏板在第一层的接缝处被填缝,并在房间周围的底部被填缝。我对噪声隔离的成效感到非常满意。房间里有个掩体,妻子和我在看电影前甚至懒得去关门,一旦我们的孩子睡着了,我们就会看电影。孩子们不受干扰,而只有我时,妻子也不受干扰。立管的扬声器电缆延伸接到每个座椅,并在每个座椅下安装小型超低音扬声器。


这个房间有三扇门,一个到单独的(也是隔音的)9英寸x 10英寸的设备室,一个到影院后面的机械室,一个是进/出门。机械室和进/出门采用了带有零门密封件和自动门底的双门气闸,其结果非常棒。我的熔炉鼓风机和热水器鼓风机都全力运转,尽管影院后壁距墙壁有30英寸的距离,但在影院内听不到噪音。机房使用挡风雨条来防止风扇噪音进入影院。多亏了独立的隔音设备室,我使所有风扇全速运转,以确保设备正常散热。如果装备不是与影院分开放置的话,我将不得不选择完全不同的设备设置。


我利用了来自亚马逊的一种名为“ Kno Knoise”的材料,并将其放在无法移动的风管系统上。这加上拱腹上的三层石膏板/夹子通道,消除了空气流经管道到地下室其他地方时的声音。


我还在设备室运行了七个专用的20 安电路。当前,每个功率放大器具有其自己的专用电路。这样做是为了使放大器的可用功率最大化。


AVS论坛:总费用是多少?


MB:现在房间的厂商建议零售价为158,000美元; 但是,由于我在与以前的影院进行配置时与众多经销商建立了良好的关系,因此该影院的“实际”成本(包括人工和材料)约为120,000美元。 没错,与经销商的良好关系为我节省了近4万美元的设备成本。 


AVS论坛:真正的DIY(用您自己的双手和亲朋好友的双手)是多少?外包了多少?


MB:我想说这个房间大约是60%是自己动手的,40%是合同工。


AVS论坛:如果您将某些工作外包出去,那么设计者,安装者是谁或什么公司?谁做了声学设计,音频/视频校准?


MB:声学前沿的Nyal Mellor负责房间的声学设计。杰夫·帕金森(@BigmouthinDC)是我在准备框架、电气和室内细节阶段的承包商。我和我妻子开玩笑说,他不得不教我很多东西。因为他要退休了。关于此构建,一切都不容易。从长远来看,构图可能要花大约3个月的时间。所有这些时间都花在了为框架做准备的房间上–在框架发生之前,有太多的小东西需要移动,固定或搬走。


位于MD的Custom Colors,Inc.完成了石膏板的安装工作。他们以前在该地区建立过商业电影院以及至少一个AVS论坛成员的双干墙影院,他们在三重石膏板方面具有丰富的经验,并且工作非常迅速。这项工作花了一天半的时间,就用三层石膏板覆盖了每个角落。


AVS论坛:您最大的挑战是什么?你是怎么认识他们的?


MB:原来的房间大小是18英寸x 18英寸,我不愿意接受完美方形房间的方案。我决定将另一个地下室推入影院,并将另一个地下室作为直接与影院相连的专用设备室使用。


挑战是热水器,炉子和一间完整的浴室需要移动。我拆除了浴室(在地下室的其他地方重建了浴室),并获得了HVAC /水暖服务,将热水器和炉子移到了位于影院空间后面的区域。


另一个挑战是将抽油烟机的壁橱变成影院的入口。我把污水泵向右移动了约6英尺,让一位结构工程师进来并草拟了扩宽门口的计划(这是必要的,因为它是一堵支撑楼梯并着陆在一楼的结构墙)。我们采用了22英寸承重集水池壁橱的入口方式,并将其变成32英寸入口。


AVS论坛:在此过程中最重要的时刻是什么?


MB:有一些很棒的时刻。它们是:


我们在2018年11月举办了一场家庭影院聚会。在两天的时间里,大约有23人参加了聚会。与拥有相同激情的其他人分享所有辛勤工作的成功和激情时光,这是一次光荣的经历!对于许多参与者来说,它可能只是另一个G2G,但对我来说,这是我一生中最难忘的时刻之一。


一个结构装修派对,dougusmc和 redstripe77帮助我用缅因州吉尔福德的一些透声织物包裹了我的结构装修框架。聊天和学习真是太有趣了。

在房间处于中间结构建设中期时,为一些立体声音响发烧友第一次打开Triad Platinum LCR时,到处都是碎屑,玻璃纤维颗粒仍漂浮在空中,我坐在还未铺满地毯的舞台上,按下播放键。这个项目的财务负担持续了将近3年,我考虑减少损失,取消该项目并在其他地方投资。但是,当我第一次按下play键,坐在建筑区域中间一个尘土飞扬的木板上,闭上了眼睛,我被带到了一个完整的影院世界,这激发了我继续前进的动力。 


第一次在12英尺宽的16:9屏幕上看到图像。我的投影仪计划在我的第一个孩子出生的第二天交付。(那天早上我和妻子已经计划好了)。当我妻子和刚出生的孩子还在睡觉的时候,我离开了医院,冲回家去,我收到了它,然后将其打开。加载完第一张图片(Oppo UDP-203主屏幕)我盯着它,想“这太值得了!”,我迅速播放了一些视觉测试材料,但无法集中精力。因此,我将其关闭并赶回医院,继续陪伴我的妻子和刚出生的孩子。


体验杜比全景声(Dolby Atmos)。我玩过的第一个场景是《星际迷航:进入黑暗》中的克林贡战役。我立刻叫了我妻子下来,她惊讶的发现真正的家庭影院是可以实现的。


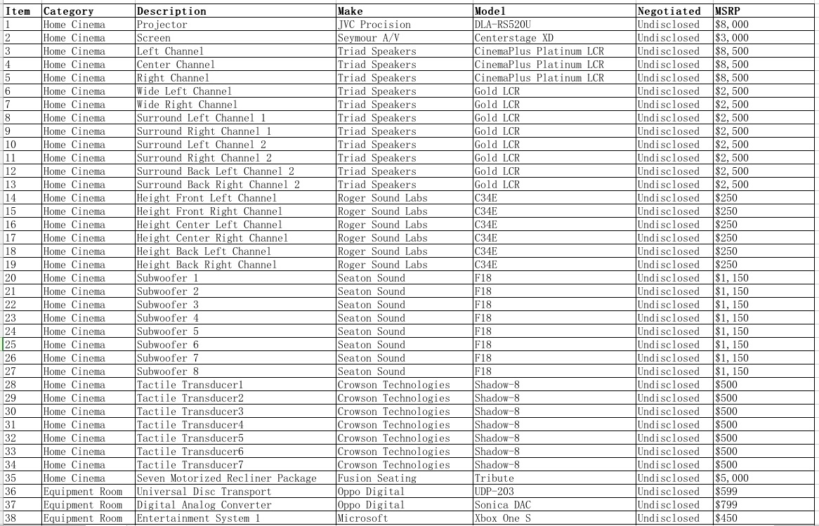
所有这些令人敬畏的东西并不便宜,这是设备和价格的全部细分:


2.jpg

3.jpg